The global landscape of dementia is shifting rapidly, with projections indicating that the number of individuals living with the condition will double in the next 25 years.
While genetics play a role in some cases, a growing body of research suggests that lifestyle choices may significantly influence the development of Alzheimer's disease and vascular dementia, the two most prevalent forms.
A recent study from Lund University in Sweden has taken a groundbreaking step by identifying 17 key factors that impact these conditions, offering a roadmap for prevention through modifiable behaviors.
The study, which analyzed data from 494 participants, examined both fixed and flexible risk factors.
Among the fixed factors were age, genetics, and sex, while modifiable factors included alcohol consumption, physical activity, smoking, and diabetes management.
Notably, the research team found that 45% of dementia cases could be attributed to risk factors that individuals have the power to change.
This revelation underscores the potential for public health interventions to curb the rising tide of dementia.
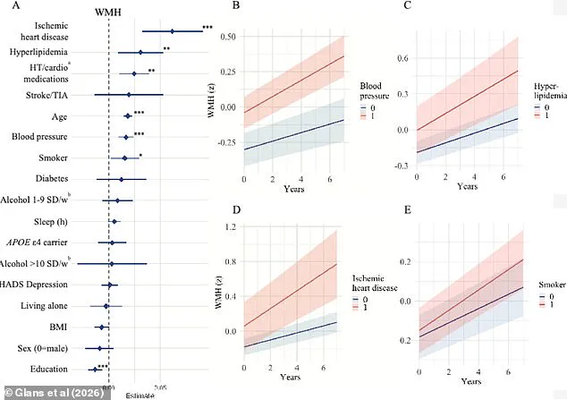
The researchers focused on three critical brain markers: white matter hyperintensities (WMHs), amyloid-beta proteins, and tau proteins.
WMHs, often found in older adults or those with conditions like high blood pressure or diabetes, are linked to cognitive decline and stroke.
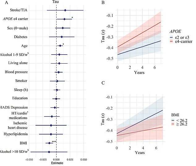
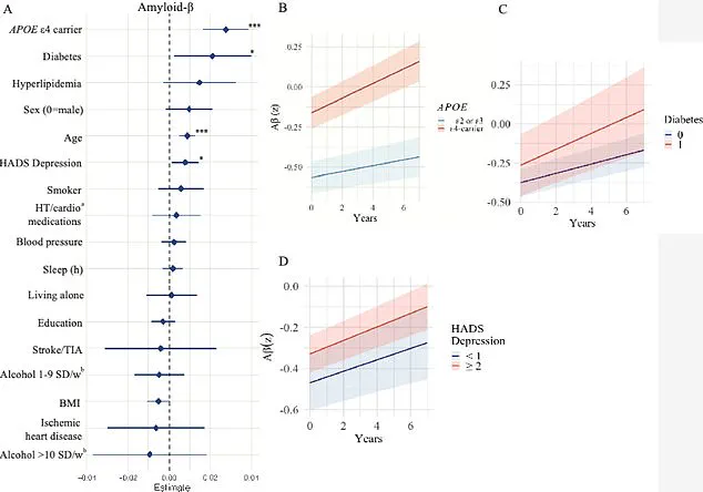
Amyloid-beta plaques, a hallmark of Alzheimer's, and tau tangles, which disrupt brain cell function, were also central to the study.

By analyzing how each of the 17 factors influenced these markers, the team aimed to uncover actionable strategies for reducing dementia risk.
Sebastian Palmqvist, a senior lecturer in neurology at Lund University and lead author of the study, emphasized a critical gap in prior research. 'Much of the research available on the risk factors we can influence does not take into account the different causes of dementia,' he noted. 'This means we have had limited knowledge of how individual risk factors affect the underlying disease mechanisms in the brain.' The study's findings provide a more nuanced understanding, linking specific lifestyle choices to measurable changes in brain health.
The implications of the study are particularly urgent given the scale of the dementia crisis.
In the United States alone, Alzheimer's disease affects nearly 7 million people, a number expected to double by 2050.
Vascular dementia, which impacts around 807,000 Americans, is even more widespread when considering mixed dementia cases with vascular components, affecting an estimated 2.7 million individuals.
These statistics highlight the need for targeted public health strategies that address modifiable risk factors.
The study builds on previous research published in The Lancet, which identified 14 modifiable risk factors, including physical inactivity, smoking, poor diet, and lack of social contact.
A separate study, the US POINTER trial, further reinforced these findings by demonstrating that aerobic exercise and a Mediterranean diet can enhance cognitive function in at-risk populations.
These insights collectively suggest that lifestyle interventions could be a cornerstone of dementia prevention.
The Lund University research also highlights the interplay between genetic and environmental factors.

For instance, the APOE e4 gene, a known risk factor for Alzheimer's, was found to influence amyloid-beta accumulation, while body mass index (BMI) was linked to tau protein buildup.
These findings emphasize the importance of personalized approaches to prevention, where genetic predispositions are balanced with lifestyle modifications.
As the global population ages, the burden of dementia will continue to grow.
However, the study offers a beacon of hope, demonstrating that up to half of dementia cases may be preventable through targeted interventions.
By addressing risk factors such as high blood pressure, smoking, and diabetes early in life, individuals and public health systems can work together to mitigate the impact of this devastating condition.
The path forward lies in education, policy, and the promotion of healthy lifestyles that safeguard cognitive health for generations to come.
The data from Lund University, combined with findings from The Lancet and the POINTER study, paints a clear picture: dementia is not an inevitable consequence of aging, but a condition that can be significantly influenced by the choices we make today.
As researchers continue to unravel the complex web of factors contributing to dementia, the emphasis on modifiable risks offers a tangible strategy for reducing its prevalence and improving quality of life for millions worldwide.
A groundbreaking study published in *The Journal of Prevention of Alzheimer's Disease* this month has shed new light on the complex interplay between lifestyle, genetics, and brain health in older adults.
Researchers from Lund University in Sweden analyzed data from 494 participants, all aged around 65, who underwent a battery of tests over a four-year period.

These included genetic screening for the APOE e4 gene, a well-known risk factor for Alzheimer's, as well as assessments of BMI, blood pressure, sleep quality, and vascular health.
The study also involved invasive procedures such as cerebrospinal fluid analysis and advanced imaging techniques like MRI and PET scans, which allowed scientists to observe microscopic changes in the brain's structure and chemistry.
The findings revealed a troubling pattern: older participants exhibited accelerated progression of white matter hyperintensities, which are areas of damaged brain tissue often linked to cognitive decline.
Those carrying the APOE e4 gene showed even more alarming results, with a faster accumulation of amyloid-beta and tau proteins—hallmarks of Alzheimer's pathology.
While age and the APOE e4 gene have long been recognized as major risk factors, the study uncovered additional vascular-related risks that could be modified through lifestyle and medical interventions.
These included hypertension, hyperlipidemia, heart disease, and smoking, all of which contribute to vascular brain damage by impairing blood flow and oxygen delivery to critical brain regions.
Isabelle Glans, a doctoral student and lead author of the study, emphasized the significance of these vascular risk factors. 'We saw that modifiable risk factors like smoking, cardiovascular disease, and high blood lipids were strongly linked to vascular brain damage,' she explained. 'This damage can ultimately lead to vascular dementia, a condition that is often overlooked in discussions about Alzheimer's.' The research also pointed to education levels as a potential risk factor, suggesting that lower educational attainment may correlate with higher stress levels and reduced access to preventive healthcare, compounding the risk of dementia.
The study's real-world implications are starkly illustrated by the experiences of individuals like Rebecca Luna and Jana Nelson, both diagnosed with early-onset Alzheimer's and dementia, respectively.
Luna, who began experiencing blackouts and memory lapses in her late 40s, described moments of confusion where she would forget her keys or leave the stove on, only to return to a smoky kitchen.
Nelson, diagnosed at 50, faced a dramatic decline in cognitive function, struggling to name colors or solve basic math problems.

These cases underscore the urgent need for public health strategies that address both genetic and environmental risks.
Another surprising finding was the link between lower BMI and increased accumulation of tau proteins.
While obesity has long been associated with dementia due to inflammation and vascular damage, the study suggests that underweight individuals in older age may face unique challenges.
Glans theorized that tau tangles might develop in brain regions responsible for regulating appetite and weight, such as the hypothalamus and medial temporal lobe.
Additionally, low BMI was tied to reduced cerebral metabolism, a decline in the brain's energy consumption, and brain atrophy, all of which could accelerate cognitive decline.
Diabetes emerged as another critical factor, with the study showing that individuals with the condition experienced faster amyloid-beta accumulation.
Experts speculate that insulin resistance, a hallmark of diabetes, may disrupt the brain's ability to clear amyloid-beta, allowing it to build up over time. 'Diabetes was associated with increased accumulation of amyloid β, while people with lower BMI had faster accumulation of tau,' Glans noted. 'However, these findings need to be investigated further and validated in future studies.' The study's authors stress that while more research is needed, the results highlight the importance of early lifestyle interventions in mitigating dementia risk.
Sven Palmqvist, a co-author of the study, emphasized the potential for public health initiatives to make a difference. 'Focusing on vascular and metabolic risk factors can still help reduce the combined effects of several brain changes that occur simultaneously,' he said.
This call to action aligns with growing global efforts to combat dementia through policies targeting smoking cessation, blood pressure management, and diabetes prevention.
As the study's findings gain traction, they may influence future regulations and healthcare directives aimed at protecting brain health across the lifespan.